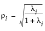
where λi is the ith eigenvalue of the E-1H matrix used in computing the multivariate test statistics
The matrix labeled Eigvec is the V matrix, which is the matrix of eigenvectors of E-1H for the given test.
Note: The E and H matrices for the given test refer to M‘EM and M‘HM in terms of the original E and H matrices. The M matrix is defined by the response design. The E and H used in this section are defined in Multivariate Tests.
N is the number of observations
r is the rank of the X matrix
Note: The E and H matrices for the given test refer to M‘EM and M‘HM in terms of the original E and H matrices. The M matrix is defined by the response design. The E and H used in this section are defined in Multivariate Tests.
where g is the number of eigenvalues of E-1H greater than 0 and the L matrices in the denominator are from the multivariate least squares means calculations.
Y is the matrix of response variables
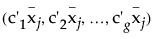
M’ is the transpose of the response design matrix
Note: The E and H matrices for the given test refer to M‘EM and M‘HM in terms of the original E and H matrices. The M matrix is defined by the response design. The E and H used in this section are defined in Multivariate Tests.




is the multivariate least squares mean for the
is the overall mean of the responses
