In Example of a Custom Test, you are interested in testing three contrasts using the Cholesterol.jmp sample data table. Specifically, you want to compare:
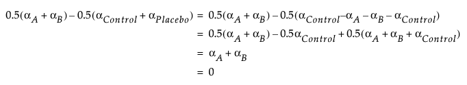
To derive the contrast coefficients that you enter into the Custom Test columns, do the following. Denote the theoretical effects for the four treatment groups as follows: αA, αB, αControl, and αPlacebo. These are the treatment effects, so they are constrained to sum to 0. Because the parameters associated with the indicator variables represent only the first three effects, you need to formulate your contrasts in terms of these first three effects. See Details of Custom Test Example and Interpretation of Parameters in Statistical Details for more information.



. Then
. It follows that: