pmf:
for
; x = 0,1,2,...
for
; x = 0,1,2,...This distribution is useful when the data is a combination of several Poisson(μ) distributions and each Poisson(μ) distribution has a different μ. One example is the overall number of accidents combined from multiple intersections, when the mean number of accidents (μ) varies between the intersections.
The Gamma Poisson distribution results from assuming that x|μ follows a Poisson distribution and μ follows a Gamma(α,τ). The Gamma Poisson has parameters λ = ατ and σ = τ+1. The parameter σ is a dispersion parameter. If σ > 1, there is over dispersion, meaning there is more variation in x than explained by the Poisson alone. If σ = 1, x reduces to Poisson(λ).
pmf:
for
;
; x = 0,1,2,...
for
;
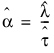
; x = 0,1,2,...Remember that x|μ ~ Poisson(μ), while μ~ Gamma(α,τ). The platform estimates λ = ατ and σ = τ+1. To obtain estimates for α and τ, use the following formulas:
If the estimate of σ is 1, the formulas do not work. In that case, the Gamma Poisson has reduced to the Poisson(λ), and
is the estimate of λ.
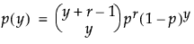
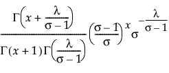
is the estimate of λ.If the estimate for α is an integer, the Gamma Poisson is equivalent to a Negative Binomial with the following pmf:
Run demoGammaPoisson.jsl in the JMP Samples/Scripts folder to compare a Gamma Poisson distribution with parameters λ and σ to a Poisson distribution with parameter λ.
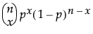
The Binomial option accepts data in two formats: a constant sample size, or a column containing sample sizes.
Note: The confidence interval for the binomial parameter is a Score interval. See Agresti and Coull (1998).
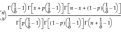
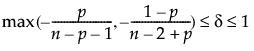
The Beta Binomial distribution results from assuming that x|π follows a Binomial(n,π) distribution and π follows a Beta(α,β). The Beta Binomial has parameters p = α/(α+β) and δ = 1/(α+β+1). The parameter δ is a dispersion parameter. When δ > 0, there is over dispersion, meaning there is more variation in x than explained by the Binomial alone. When δ < 0, there is under dispersion. When δ = 0, x is distributed as Binomial(n,p). The Beta Binomial exists only when
.
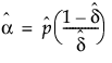
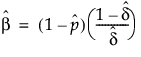
.Remember that x|π ~ Binomial(n,π), while π ~ Beta(α,β). The parameters p = α/(α+β) and δ = 1/(α+β+1) are estimated by the platform. To obtain estimates of α and β, use the following formulas:
If the estimate of δ is 0, the formulas do not work. In that case, the Beta Binomial has reduced to the Binomial(n,p), and
is the estimate of p.
is the estimate of p.Run demoBetaBinomial.jsl in the JMP Samples/Scripts folder to compare a Beta Binomial distribution with dispersion parameter δ to a Binomial distribution with parameters p and n = 20.
is the Gamma function.

for 
for
; 
;
;
is the Gamma function.
