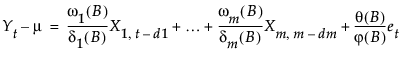
A typical transfer function model with m inputs can be represented as follows:
Yt denotes the output series
et represents the noise series
μ represents the mean level of the model
ϕ(B) and θ(B) represent autoregressive and moving average polynomials from an ARIMA model
ωk(B) and δk(B) represent numerator and denominator factors (or polynomials) for individual transfer functions, with k representing an index for the 1 to m individual inputs.
