JMP 14.0 Online Documentation (English)
Discovering JMP
Using JMP
Basic Analysis
Essential Graphing
Profilers
Design of Experiments Guide
Fitting Linear Models
Predictive and Specialized Modeling
Multivariate Methods
Quality and Process Methods
Reliability and Survival Methods
Consumer Research
Scripting Guide
JSL Syntax Reference
JMP iPad Help
JMP Interactive HTML
Capabilities Index
JMP 13 Online Documentation
JMP 12 Online Documentation
Multivariate Methods
•
Discriminant Analysis
•
Technical Details for the Discriminant Analysis Platform
• Between Groups Covariance Matrix
Previous
•
Next
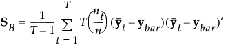
Between Groups Covariance Matrix
Using the notation in
Table 4.2
, this matrix is defined as follows:
Previous
•
Next
Help created on 7/12/2018