You plan to model the probability of success for your binomial response as a function of a single factor x. using a generalized linear model with a logistic link function
and the variance of Y as the weight.
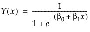
This model is nonlinear in the unknown parameters β0, and β1. Use the nonlinear designer to plan an experimental design.Your goal is to model the effect of x on your binomial response Y.
The One Factor Logistic Design.jmp data table, found in the Design Experiment folder, contains the following:
|
•
|
Column x for the predictor. The Coding property defined for this column sets the low value to 0 and the high value to 1.
|
|
•
|
Column Y, for the response. This is the column for collected responses (0/1) from your testing.
|
|
•
|
Column Linear Predictor that contains a formula for the linear portion of the link function. To view the formula, click on the plus sign to the right of Linear Predictor in the Columns panel. The model formula includes the initial estimates for the parameters b0 and b1. Initial parameter values are set when you define a formula. These values are shown in the formula element panel in the lower center of the formula editor window.
|
|
•
|
Column Variance of Y that contains the formula for the variance of the response based on the assumed logistic model. This is p(1-p) where p is the logistic function. This column is used as the weight column.
|
|
•
|
Column Predicted Proportion that contains the logistic link function.
|
|
1.
|
|
2.
|
Select DOE > Special Purpose > Nonlinear Design.
|
|
3.
|
|
4.
|
|
5.
|
|
6.
|
Click OK.
|
Figure 22.12 Nonlinear Design Window
|
7.
|
Click the Nonlinear Design red triangle and select Advanced Options > N Monte Carlo Spheres. Set the number of spheres to 0 to obtain a locally optimal design. Click OK.
|
|
8.
|
Click Make Design.
|
|
9.
|
Click Augment Table.
|
This adds the 10 run design to One Factor Logistic Design.jmp, see Figure 22.13. Your design table will be different because the optimization algorithm has a random component.
Figure 22.13 Augmentation of Binomial Optimal Start.jmp
|
1.
|
Right click on the Y column heading and select formula.
|
|
3.
|
|
4.
|
Select Analyze > Fit Model
|
|
5.
|
|
6.
|
|
11.
|
Click Run.
|
Figure 22.14 Regression Plot for Binomial DOE




