JMP 14.0 Online Documentation (English)
Discovering JMP
Using JMP
Basic Analysis
Essential Graphing
Profilers
Design of Experiments Guide
Fitting Linear Models
Predictive and Specialized Modeling
Multivariate Methods
Quality and Process Methods
Reliability and Survival Methods
Consumer Research
Scripting Guide
JSL Syntax Reference
JMP iPad Help
JMP Interactive HTML
Capabilities Index
JMP 13 Online Documentation
JMP 12 Online Documentation
Design of Experiments Guide
•
Technical Details
•
The Alias Matrix
• Designs with Hard or Very Hard Factor Changes
Previous
•
Next
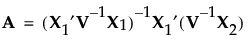
Designs with Hard or Very Hard Factor Changes
For designs with hard-to-change or very-hard-to-change factors, the alias matrix is given as follows:
where
V
is the block diagonal covariance matrix of the responses.
Previous
•
Next
Help created on 7/12/2018