|
•
|
An inner design is constructed for the control factors.
|
|
•
|
An outer design is constructed for the noise factors.
|
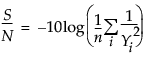
The experiment is performed on all combinations of the inner and outer design runs. The noise factors have to be controlled during the experiment. The mean and standard deviation for each setting in the inner array across the noise settings are combined into a signal-to-noise measure for analysis. Table 13.1 lists the signal-to-noise performance statistics.


