This section gives the density functions f for the distributions used in the Process Capability platform. It also gives expected values and variances for all but the Johnson distributions.
,
,
, σ > 0
, x > 0,
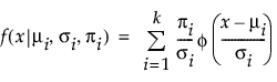
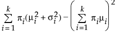
, σ > 0where μi, σi, and πi are the respective mean, standard deviation, and proportion for the ith group, and
is the standard normal probability density function. For the Mixture of 2 Normals, k is equal to 2. For the Mixture of 3 Normals distribution, k is equal to 3. A separate mean, standard deviation, and proportion of the whole is estimated for each group in the mixture.
is the standard normal probability density function. For the Mixture of 2 Normals, k is equal to 2. For the Mixture of 3 Normals distribution, k is equal to 3. A separate mean, standard deviation, and proportion of the whole is estimated for each group in the mixture.
,
, 

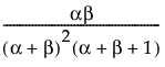
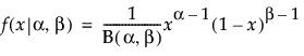
is the Beta function.
,
,
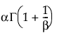
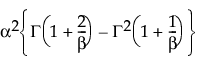
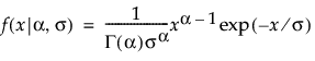
is the gamma function.
,
,
,
, for
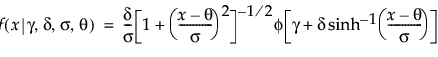
is the standard normal probability density function.




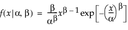
, 

is the gamma function.