JMP 14.0 Online Documentation (English)
Discovering JMP
Using JMP
Basic Analysis
Essential Graphing
Profilers
Design of Experiments Guide
Fitting Linear Models
Predictive and Specialized Modeling
Multivariate Methods
Quality and Process Methods
Reliability and Survival Methods
Consumer Research
Scripting Guide
JSL Syntax Reference
JMP iPad Help
JMP Interactive HTML
Capabilities Index
JMP 13 Online Documentation
JMP 12 Online Documentation
Basic Analysis
•
Distributions
•
Statistical Details for the Distribution Platform
• Standard Error Bars
Previous
•
Next
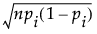
Standard Error Bars
Standard error bars are calculated using the standard error
where
p
i
=
n
i
/
n
.
Previous
•
Next
Help created on 7/12/2018