The individual desirability functions are smooth piecewise functions that pass through three defining points. These points are called control points (Low, Middle, High) and can be used to interactively control the shape of the desirability function.
• The Minimize and Maximize functions are three-part piecewise smooth functions that consist of interpolating cubics between the control points and exponentials in the tails.
• The Target function is a piecewise function that is a scale multiple of a normal density on either side of the Middle value (with different curves on each side), which is also piecewise smooth and fit to the control points. Exponential functions are fit to the tails.
• The None function enables you to specify an arbitrary desirability function. In particular, you can specify desirability to be lower at the Middle value than at the Low and High values. You can also construct custom desirability functions using formulas. See Customized Desirability Functions.
The Low and High control points are not allowed to reach all the way to zero or one. This approach to constructing the desirability functions results in good behavior as the desirability values switch between the maximize, target, and minimize values.
Note: JMP does not use the Derringer and Suich (1980) functional forms. Because they are not smooth, they do not always work well with JMP’s optimization algorithm.
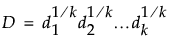
When multiple responses are to be optimized, an overall desirability function is constructed and optimized. The overall desirability for all responses is defined as the geometric mean of the desirability functions for the individual responses.
Denote the individual desirability functions for k responses by d1, d2,...,dk. Then the overall desirability function is the geometric mean of the individual desirability functions:

If Importance values are defined as part of the Response Limits column property or are defined in the Response Goal window, they are integrated into the overall desirability function. The Importance values are scaled so that they sum to 1. Denote the scaled importance values by w1, w2, ..., wk. Then the overall desirability is defined as a weighted geometric mean of the individual desirability functions:

Optimization of the overall desirability function, or of the single desirability function if there is only one response, is conducted as follows.
• For categorical factors, a coordinate exchange algorithm is used.
• For continuous factors, a gradient descent algorithm is used.
• In the presence of constraints or mixture factors, a Wolfe reduced-gradient approach is used.