This version of the Help is no longer updated. See JMP.com/help for the latest version.

.
Publication date: 07/30/2020

Correlation Report

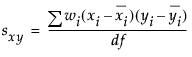
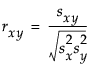
The Pearson correlation coefficient is denoted r, and is computed as follows:

where

Where wi is either the weight of the ith observation if a weight column is specified, or 1 if no weight column is assigned.

Want more information? Have questions? Get answers in the JMP User Community (community.jmp.com).