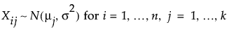
Use the k Sample Means calculator to determine an appropriate sample size for a hypothesis test about two to ten means. Sample size and power are associated with the following hypothesis test:

versus the two-sided alternative:
Ha : not all means equal
where:
