Two proportions calculations are based on exact methods similar to those used for the one proportion calculator. For the two-sided hypothesis

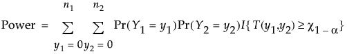
JMP calculates power under the null hypothesis as follows:

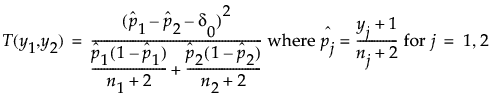
where the adjusted Wald statistic is defined as follows:

and:
and 0 otherwise
and χ1-α is the (1 - α)th quantile of the χ2 distribution.
Because there are no closed-form expressions for the ni or δ0, numerical techniques are used to solve for the ni and δ0.
For more information about the adjusted Wald test statistic, see Agresti and Coull (1998). For more information about calculations in JMP, see Barker (2011, Section 3.3).