For the latest version of JMP Help, visit JMP.com/help.


Publication date: 04/30/2021

Approximate F-Tests

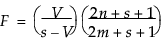
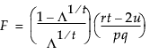
To compute F-values and degrees of freedom, let p be the rank of . Let q be the rank of , where the L matrix identifies elements of associated with the effect being tested. Let v be the error degrees of freedom and s be the minimum of p and q. Also let and .

Table 5.3, gives the computation of each approximate F from the corresponding test statistic.

Table 5.3 Approximate F-statistics

Test

Approximate F

Numerator DF

Denominator DF

Wilks’ Lambda

Pillai’s Trace

Hotelling-Lawley Trace

Roy’s Max Root

Want more information? Have questions? Get answers in the JMP User Community (community.jmp.com).