For the latest version of JMP Help, visit JMP.com/help.

Predictive and Specialized Modeling > Fit Curve > Statistical Details for the Fit Curve Platform
Publication date: 09/28/2021

Statistical Details for the Fit Curve Platform

Model Formulas

Table 14.1 provides the formulas for the models on the Fit Curve red triangle menu.

Table 14.1 Fit Curve Model Formulas

Model

Formula

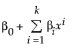
Polynomials

Image shown here

Equation shown here

where k is the order of the polynomial. These models can also be fit using the Fit Model and Fit Y by X platforms.

Logistic 2P

Image shown here

Equation shown here

a = Growth Rate

b = Inflection Point

Available only when all response values are between zero and one.

Logistic 3P

Image shown here

Equation shown here

a = Growth Rate

b = Inflection Point

c = Asymptote

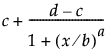
Logistic 4P

Image shown here

Equation shown here

a = Growth Rate

b = Inflection Point

c = Lower Asymptote

d = Upper Asymptote

Logistic 4P Rodbard

Image shown here

Equation shown here

a = Growth Rate

b = Inflection Point

c = Lower Asymptote

d = Upper Asymptote

Available only when the regressor values are positive.

Logistic 4P Hill

Image shown here

Equation shown here

a = Growth Rate

b = Inflection Point

c = Lower Asymptote

d = Upper Asymptote

Logistic 5P

Image shown here

Equation shown here

a = Growth Rate

b = Inflection Point

c = Asymptote 1

d = Asymptote 2

f = Power

Probit 2P

Image shown here

Equation shown here

a = Growth Rate

b = Inflection Point

Φ = Normal Distribution CDF

Available only when all response values are between zero and one.

Probit 4P

Image shown here

Equation shown here

a = Growth Rate

b = Inflection Point

c = Asymptote 1

d = Asymptote 2

Φ = Normal Distribution CDF

Gompertz 3P

Image shown here

Equation shown here

a = Asymptote

b = Growth Rate

c = Inflection Point

Gompertz 4P

Image shown here

Equation shown here

a = Lower Asymptote

b = Upper Asymptote

c = Growth Rate

d = Inflection Point

Weibull Growth

Image shown here

Equation shown here

a = Upper Asymptote

b = Growth Rate

c = Inflection Point

Available only when both the response values and regressor values are non-negative.

Exponential 2P

Image shown here

Equation shown here

a = Scale

b = Growth Rate

Exponential 3P

Image shown here

Equation shown here

a = Asymptote

b = Scale

c = Growth Rate

Biexponential 4P

Image shown here

Equation shown here

a = Scale 1

b = Decay Rate 1

c = Scale 2

d = Decay Rate 2

Available only when the response values are positive.

Biexponential 5P

Image shown here

Equation shown here

a = Asymptote

b = Scale 1

c = Decay Rate 1

d = Scale 2

f = Decay Rate 2

Mechanistic Growth

Image shown here

Equation shown here

a = Asymptote

b = Scale

c = Growth Rate

Cell Growth 4P

Image shown here

Equation shown here

a = Peak value if mortality rate, d, is zero

b = Response at time zero

c = Cell Division Rate

d = Cell Mortality Rate

Available only when the response values are positive and the regressor values are non-negative.

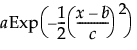
Gaussian Peak

Image shown here

Equation shown here

a = Peak Value

b = Critical Point

c = Growth Rate

Lorentzian Peak

Image shown here

Equation shown here

a = Peak Value

b = Growth Rate

c = Critical Point

One Compartment Oral Dose

Image shown here

Image shown here

Equation shown here

a = Area Under Curve

b = Elimination Rate

c = Absorption Rate

Available only when the response values and the regressor values are all positive.

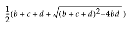
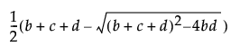
Two Compartment IV Bolus Dose

Image shown here

Image shown here

Equation shown here

α =Equation shown here

β =Equation shown here

a = Initial Concentration

b = Transfer Rate In

c = Transfer Rate Out

d = Elimination Rate

Available only when the response values and the regressor values are all positive.

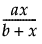
Michaelis-Menten

Image shown here

Equation shown here

a = Max Reaction Rate

b = Inverse Affinity

Available only when the response values and the regressor values are all positive.

Want more information? Have questions? Get answers in the JMP User Community (community.jmp.com).