For the latest version of JMP Help, visit JMP.com/help.


Publication date: 11/10/2021

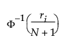
Normal Quantiles

The normal quantile values are computed as follows:

Equation shown here

where:

Φ is the cumulative probability distribution function for the normal distribution.

ri is the rank of the ith observation.

N is the number of nonmissing observations.

Want more information? Have questions? Get answers in the JMP User Community (community.jmp.com).