For the latest version of JMP Help, visit JMP.com/help.


Reliability and Survival Methods > Cumulative Damage > Additional Example of the Cumulative Damage Platform
Publication date: 06/21/2023

Additional Example of the Cumulative Damage Platform

This example uses the Simulation Configuration panel in the Cumulative Damage report to generate new step-stress data. This example uses the same data as the example in Example of the Cumulative Damage Platform.

1. Select Help > Sample Data Folder and open Reliability/CD Step Stress.jmp and Reliability/CD Step Stress Pattern.jmp.

2. In the CD Step Stress data table, run the script Cumulative Damage.

3. Click the Stress Patterns red triangle and select Simulate.

Figure 5.8 Simulation Configuration PanelĀ 

Simulation Configuration Panel

The Simulation Configuration panel appears in the Stress Patterns report. The selection for Distribution is Weibull. The fitted values for b0 and b1 are used as initial values for the simulation.

4. Select Exponential for Distribution.

5. Enter 10 for b0.

6. Enter -18 for b1.

7. (Optional) Enter 14678 for Random Seed.

8. Click Simulate.

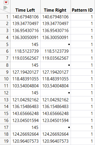
Figure 5.9 Partial Results of SimulationĀ 

Partial Results of Simulation

Figure 5.9 shows a partial listing of the simulated data table. The stress pattern with Pattern ID equal to 1 is defined only up to 145 time units. Since the Pattern Configuration setting in the launch window was set to Terminate, the simulation censors any simulated values at 145 for stress pattern 1.

Want more information? Have questions? Get answers in the JMP User Community (community.jmp.com).