For the latest version of JMP Help, visit JMP.com/help.


Design of Experiments Guide > Taguchi Designs > Overview of Taguchi Designs
Publication date: 06/21/2023

Overview of Taguchi Designs

A Taguchi Design uses two types of factors: control factors and noise factors.

An inner design is constructed for the control factors.

An outer design is constructed for the noise factors.

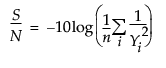
The experiment is performed on all combinations of the inner and outer design runs. The noise factors have to be controlled during the experiment. The mean and standard deviation for each setting in the inner array across the noise settings are combined into a signal-to-noise measure for analysis. Table 15.1 lists the signal-to-noise performance statistics.

Table 15.1 Recommended Performance Statistics

Goal

S/N Ratio Formula

nominal is best

Equation shown here

larger-is-better (maximize)

Equation shown here

smaller-is-better (minimize)

Equation shown here

Want more information? Have questions? Get answers in the JMP User Community (community.jmp.com).