For the latest version of JMP Help, visit JMP.com/help.


Publication date: 06/21/2023

Statistical Details for Approximate F-Tests

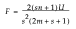
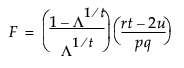
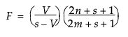
To compute F-values and degrees of freedom, let p be the rank of Equation shown here. Let q be the rank of Equation shown here, where the L matrix identifies elements of Equation shown here associated with the effect being tested. Let v be the error degrees of freedom and s be the minimum of p and q. Also let Equation shown here and Equation shown here.

Table 10.2, gives the computation of each approximate F from the corresponding test statistic.

Table 10.2 Approximate F-statistics

Test

Approximate F

Numerator DF

Denominator DF

Wilks’ Lambda

Equation shown here

Equation shown here

Equation shown here

Pillai’s Trace

Equation shown here

Equation shown here

Equation shown here

Hotelling-Lawley Trace

Equation shown here

Equation shown here

Equation shown here

Roy’s Max Root

Equation shown here

Equation shown here

Equation shown here

Want more information? Have questions? Get answers in the JMP User Community (community.jmp.com).