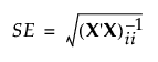
In the Evaluate Design report, the relative standard error of estimates is reported. For the ith parameter estimate, the Relative Std Error of Estimate is defined as follows:

where
X is the model matrix defined in The Alias Matrix, and
is the ith diagonal entry of
.