For the latest version of JMP Help, visit JMP.com/help.


Design of Experiments Guide > Definitive Screening Designs
Publication date: 03/03/2025

Definitive Screening Designs

Definitive screening designs (DSD) are screening designs. They are appropriate for early stage experimentation work, typically with four or more factors. DSD can be used for combinations of continuous or two-level categorical factors. They work best when most of the factors are continuous. Each continuous factor has three levels allowing one to investigate quadratic model terms for continuous factors.

Here are areas where definitive screening designs are superior to standard screening designs:

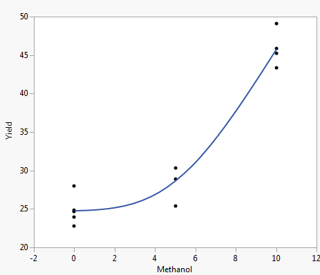
They help identify the causes of nonlinear effects by fielding each continuous factor at three levels. In standard screening designs, continuous factors have only two levels. You can add center points to screening designs, but these points establish only if curvature exists. They do not allow you to identify the factors responsible for quadratic effects.

They avoid confounding between any effects up through the second order. For continuous factors, definitive screening designs have main effects that are orthogonal to each other and orthogonal to two-factor interactions and quadratic effects. Two-factor interactions are not completely confounded with each other. Confounding occurs in many standard screening designs with a similar number of runs.

They avoid the need for costly additional experimentation to resolve ambiguity from the initial results of standard screening designs.

Figure 8.1 Plot of Response against Factor Values Showing Curvature 

Plot of Response against Factor Values Showing Curvature

Contents

Overview of Definitive Screening Designs

Example of a Definitive Screening Design

Build A Definitive Screening Design

Responses
Factors
Design Options
Design
Design Evaluation
Output Options

Definitive Screening Design Options

Simulate Responses

Additional Examples of Definitive Screening Designs

Example of a Definitive Screening Design Compared to a Fractional Factorial Design
Example of a Definitive Screening Design with Blocking
Example of a Definitive Screening Design Compared with a Plackett-Burman Design

Statistical Details for Definitive Screening Designs

Structure of Definitive Screening Designs
Analysis of Experimental Data
Want more information? Have questions? Get answers in the JMP User Community (community.jmp.com).