Use the Confidence Interval for One Sample Variance Explorer to determine a sample size for a confidence interval. Select DOE > Sample Size Explorers > Confidence Intervals > Confidence Interval for One Sample Variance. Explore the trade-offs between sample size, significance, and the relative size for your interval.
Set study assumptions and explore sample sizes by using the radio buttons, text boxes, and menus. The profiler updates as you make changes to the settings. Alternatively, you can change the settings by dragging the cross hairs on the profiler curves.
Interval Type
Specifies the type of interval. Specify Lower Bound or Upper Bound for a one-sided interval. Specify Interval for a two-sided interval.
Confidence Level
Specifies the confidence level, 1 - alpha.
The profiler enables you to visualize the impact of sample size assumptions on the size of your interval relative to the variance. Interactive profiler changes to the sample size update the calculated power. Interactive changes to the profiler power update the sample size.
Target Variable
Enables you to solve for the sample size.
Relative Size
Specifies the width of the interval relative to the variance. With all other parameters fixed, relative size increases as sample size increases.
Sample Size
Specifies the total number of observations (runs, experimental units, or samples) that are needed to construct your interval.
The Explorer red triangle menu and report buttons provide additional options:
Simulate Data
Opens a data table of simulated data that are based on the explorer settings. View the simulated response column formula for the settings that are used. Run the table script to analyze the simulated data.
Make Data Collection Table
Creates a new data table that you can use for data collection. The table includes scripts to facilitate data analysis.
Remember Settings
Saves the current settings to the Remembered Settings table. This enables you to save a set of alternative study plans. See Remembered Settings in the Sample Size Explorers.
Reset to Defaults
Resets all parameters and graphs to their default settings.
The Profiler red triangle menu contains the following option:
Optimization and Desirability
Enables you to optimize settings. See “Desirability Profiling and Optimization” in Profilers.
Note: The sample size explorer report can be saved as a *.jmpdoe file. Open the file to return to the explorer. An alert prompts you to save the file.
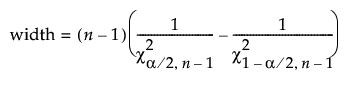
The interval calculations for capturing a population variance is based on the Χ2 distribution. Note that the interval bounds are not symmetric around the sample estimate.
The relative size is computed as the width or bound divided by s, where s is the sample variance. The width or bound are as follows:



where:
χ2α,ν is the αth quantile of a central χ2 distribution with ν degrees of freedom
n is the number of samples.