Fixed Effects Parameter EstimatesThe Fixed Effects Parameter Estimates report in the Mixed Model personality provides details for the fixed effect parameters specified in the model. The report contains parameter estimates for both indicator and effects codings in separate panels. Each panel also contains the value of twice the negative of the log-likelihood that corresponds to each coding. The indicator coding parameterization shows parameter estimates for the fixed effects based on a model where nominal fixed effect columns are coded using indicator (SAS GLM) parameterization and are treated as continuous. Ordinal columns remain coded using the usual JMP coding scheme. The SAS GLM and JMP coding schemes are described in “The Factor Models”.
Caution: Standard errors, t-ratios, and other results given in the Indicator Coding panel differ from those in the Effect Coding panel. This is because the estimates are estimating different parameters.
The Fixed Effects Parameter Estimates report contains the following columns:
Term
The model term corresponding to the estimated parameter. The first term is always the intercept, unless you selected the No Intercept option in the Fit Model launch window. Continuous columns that are part of higher order terms are centered by default. Nominal or ordinal effects appear with values of levels in brackets. See “The Factor Models” for information about the coding of nominal and ordinal terms.
Tip: If a continuous column is involved in a random effect and it is involved in an interaction with a categorical effect, the continuous column is not centered, even if the Center Polynomials option in the Model Specifications red triangle menu is selected.
Estimate
The parameter estimate for each term. This is the estimate of the term’s coefficient in the model.
Std Error
An estimate of the standard error for the parameter estimate.
DFDen
The denominator degrees of freedom, that is, the degrees of freedom for error, for the effect test. By default, DFDen is calculated using the Kenward-Roger first order approximation. See Statistical Details for the Kackar-Harville Correction.
t Ratio
Tests whether the true value of the parameter is zero. The t Ratio is the ratio of the estimate to its standard error. Given the usual assumptions about the model, the t Ratio has a Student’s t distribution under the null hypothesis.
Prob>|t|
The p-value for a two-sided test of the t Ratio.
95% Lower
The lower 95% confidence limit for the parameter. You can change the α level in the Fit Model window by selecting Set Alpha Level from the Model Specification red triangle menu.
95% Upper
The upper 95% confidence limit for the parameter. You can change the α level in the Fit Model window by selecting Set Alpha Level from the Model Specification red triangle menu.
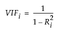
VIF
(Available only in the Effect Coding panel.) The variance inflation factor for each term in the model. High VIFs indicate a collinearity issue among the terms in the model.
The VIF for the ith term, xi, is defined as follows:

where Ri 2 is the RSquare, or coefficient of multiple determination, for the regression of xi as a function of the other explanatory variables. This column appears only if you right-click in the report and select Columns > VIF.
Uncoded Estimate
The parameter estimates for each term in its original scale as defined by the Coding column property. This option is available only when there is at least one effects column that contains a Coding column property and certain conditions apply. See “Suppress Coding”.