Use the Confidence Interval for One Sample Proportion Explorer to determine a sample size for a confidence interval for a proportion. Select DOE > Sample Size Explorers > Confidence Intervals > Confidence Interval for One Sample Proportion. Explore the trade-offs between the estimated proportion, sample size, significance, and the size of your interval. Calculations use score confidence intervals. Score confidence intervals are not symmetric.
Set study assumptions and explore sample sizes by using the radio buttons, text boxes, and menus. The profiler updates as you make changes to the settings. Alternatively, you can change the settings by dragging the cross hairs on the profiler curves.
Interval Type
Specifies the type of interval. Specify Bound for a one-sided interval. Specify Interval for a two-sided interval.
Interval Endpoint
Specifies the side of the interval for the bound margin. Specify Upper to obtain the upper bound margin or specify lower to obtain the lower bound margin. Add or subtract the bound margin from the estimated proportion for the confidence interval limits of interest.
Confidence Level
Specifies the confidence level, 1 - alpha.
The profiler enables you to visualize the impact of sample size assumptions on the margin of error calculations. Interactive profiler changes to the sample size or estimated proportion update the calculated power. Interactive changes to the profiler power update the sample sizes. To solve for a specific variable, use the target variable setting and click Go.
Target Variable
Enables you to solve for the sample size or estimated proportion at a specified bound margin.
Bound Margin
Specifies the bound for the estimated proportion. Add or subtract the bound margin to the estimated proportion to obtain the confidence interval limits of interest.
Note: Score confidence intervals are not symmetric around the point estimate. Toggle the Interval Endpoints to obtain the upper or lower bounds.
Sample Size
Specifies the total number of observations (runs, experimental units, or samples) that are needed to construct your interval.
Estimated Proportion
Specifies the assumed proportion for the interval.
The Explorer red triangle menu and report buttons provide additional options.
Simulate Data
Opens a data table of simulated data that are based on the explorer settings. View the simulated response column formula for the settings that are used. Run the table script to analyze the simulated data.
Make Data Collection Table
Creates a new data table that you can use for data collection. The table includes scripts to facilitate data analysis.
Remember Settings
Saves the current settings to the Remembered Settings table. This enables you to save a set of alternative study plans. See Remembered Settings in the Sample Size Explorers.
Reset to Defaults
Resets all parameters and graphs to their default settings.
The Profiler red triangle menu contains the following option:
Optimization and Desirability
Enables you to optimize settings. See “Desirability Profiling and Optimization” in Profilers.
Note: The sample size explorer report can be saved as a *.jmpdoe file. Open the file to return to the explorer. An alert prompts you to save the file.
In this example, use the Confidence Interval for One Sample Proportion to calculate the sample size that is needed to demonstrate that the lower confidence limit on a two sided interval for an estimated proportion of 0.875 is at least 0.8 with 95% confidence.
1. Select DOE > Sample Size Explorers > Confidence Intervals > Confidence Interval for One Sample Proportion.
2. Leave Interval Type set to Interval for estimating a sample size for a two-sided confidence interval.
3. Leave Confidence Level set to 0.95.
4. Set Interval Endpoint to Lower for the lower bound margin.
5. Leave Target Variable set to Sample Size.
6. Set Bound Margin to 0.075.
7. In the profiler, set Estimated Proportion to 0.875.
8. Click Go.
Figure 29.9 Confidence Interval Explorer for One Sample Proportion
A sample size of 110 (109.2 rounded up to a whole unit) is needed to obtain a lower limit of 0.80 for an estimated proportion of 0.875 (0.875 - 0.075 = 0.80). This is based on a two-sided 95% confidence interval.
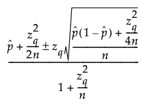
The interval calculations for capturing a population proportion are based on score confidence intervals. See Agresti and Coull(1998). The two-sided score confidence interval has the form

where zq is the q quantile of the standard normal distribution. Use q = 1 - α/2 for a two-sided interval and q = 1 - α for a one-sided interval.
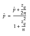
Note that the score interval is not symmetric around the estimate of the proportion, rather it is symmetric around

a weighted average of
and 0.5.