This section contains details for the canonical calculations used in the Manova personality of the Fit Model platform.
When you select the Test Details option for a given test, eigenvalues, canonical correlations, and eigenvectors are shown in the report.
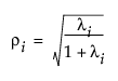
The canonical correlations produced by the Test Details option are computed as follows:

where λi is the ith eigenvalue of the E-1H matrix used in computing the multivariate test statistics
The matrix labeled Eigvec is the V matrix, which is the matrix of eigenvectors of E-1H for the given test.
Note: The E and H matrices for the given test refer to M′EM and M′HM in terms of the original E and H matrices. The M matrix is defined by the response design. The E and H used in this section are defined in Statistical Details for Multivariate Tests.
The total sample centroid and centroid values for effects are computed as follows:
Grand = 
Effectj = 
where

N is the number of observations
vi is the ith column of V, the eigenvector matrix of E-1H for the given test
is the multivariate least squares mean for the jth effect
is the overall mean of the responses
g is the number of eigenvalues of E-1H greater than 0
r is the rank of the X matrix
Note: The E and H matrices for the given test refer to M′EM and M′HM in terms of the original E and H matrices. The M matrix is defined by the response design. The E and H used in this section are defined in Statistical Details for Multivariate Tests.
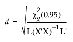
The centroid radii for effects are calculated as follows:

where g is the number of eigenvalues of E-1H greater than 0 and the L matrices in the denominator are from the multivariate least squares means calculations.
The canonical Y values are calculated as follows:

where
Y is the matrix of response variables
M′ is the transpose of the response design matrix
V is the matrix of eigenvectors of E-1H for the given test
Note: The E and H matrices for the given test refer to M′EM and M′HM in terms of the original E and H matrices. The M matrix is defined by the response design. The E and H used in this section are defined in Statistical Details for Multivariate Tests.
Canonical Y values are saved for eigenvectors that correspond to eigenvalues that are larger than zero.