In the JMP Formula Editor, you can create a formula that supports transcendental functions, such as logarithmic functions for any base, functions for combinatorial calculations, the Beta function, and several gamma functions. For more information about syntax, see “Transcendental Functions” in the Scripting Guide.
Raises e to the power that you specify. Thus, Exp(1) = e.
Returns a more accurate calculation of Exp(x) - 1 when x is very small.
Calculates the natural logarithm of x.
Calculates the natural logarithm (base e). To change the default base, highlight the argument and type a comma or click the Insert key on the Formula Editor keypad. The base appears and is editable. The Log argument can be any numeric expression. The expression Log(e) evaluates as 1, and Log(32,2) is 5. The Log10 function calculates the logarithm of base 10 only.
Returns a more accurate calculation of Log(1+x) when x is very small.
Computes the function 1 / (1 + ex), where x is any numeric column, variable, or expression.
Also known as Squish or Logistic, this function is an efficient computation of the function 1 / (1+e-x), where x is any numeric column, variable, or expression.
Calculates the root of its argument as specified by the index. Root initially shows with an index of 2. To change the index, highlight the index argument and enter the value that you want.
Returns the product of all numbers 1 through the argument that you specify. For example, Factorial(5) evaluates as 120.
Returns the number of n things taken k at a time (n select k) and is computed in the standard way by using factorials, as n! / (k!(n – k)!). For example, NChooseK(5,2) evaluates as 10.
Adds the two-parameter Beta function and is written in terms of the Gamma function as the following equation:

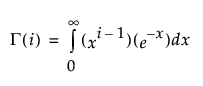
Adds the Gamma function, denoted Γ(i), and is defined as shown in the following equation:

Gamma with a single argument is the same as Gamma(x, infinity). The optional second argument changes the upper integer from infinity to the value that you enter. Other interesting gamma function relationships are the following relationships:
• For any α > 1, Γ(α) = (α–1) • Γ(α–1)
• For any positive integer, n, Γ(n) = (n-1)!
• Γ(0.5) = the square root of π
Is the natural log of the result of the gamma function evaluation. You get the same result by using the Log (natural log) function with the Gamma function. However, the LGamma function computes more efficiently than do the Log (natural log) and the Gamma functions together. NChooseK is implemented by using LGamma functions. The result is not always an exact integer. If the result is close to an integer, the Floor function rounds it down to the nearest integer.
The logarithmic derivative of the Gamma function.
The derivative of the Digamma function, or the logarithmic second derivative of the Gamma function.
Calculates the non-specific component of the Arrhenius relationship that is then multiplied by the activation energy in the Arrhenius equation.

The inverse of the Arrhenius function.

Applies the logit transformation to the argument by using:

Calculates the logit as a percent for the argument.

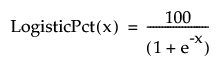
Calculates the logistic as a percent for the argument.

Is used in fitting certain models. Scheffe Cubic (X1, X2) is equivalent to X1*X2*(X1-X2).
A Johnson Sb inverse transformation. If the argument is normal, the result is Johnson Sb.
A Johnson Sb transformation from a doubly bound variable to a standard normal (0, 1) distribution.
Returns a transformation of a standard normal variable into a sinh-arcsinh (SHASH) distributed variable.
Returns a transformation of a sinh-arcsinh (SHASH) distributed variable into a standard normal distributed variable.
A Johnson Sl inverse transformation. If the argument is normal, the result is Johnson Sl.
A Johnson Sl transformation from a doubly bound variable to a standard normal (0, 1) distribution.
A Johnson Su inverse transformation. If the argument is normal, the result is Johnson Su.
A Johnson Su transformation from a doubly bound variable to a standard normal (0, 1) distribution.