Analyser ses données > Analyser les relations > Comparer les proportions
Date de parution : 08/23/2023

Comparer les proportions

Si les variables X et Y sont catégorielles, vous pouvez comparer les proportions des niveaux de la variable Y avec celles des niveaux de la variable X.

Scénario

Cet exemple utilise également la table de données Companies.jmp. Au paragraphe Comparer les moyennes d'une variable, l'analyste financier a pu établir que les laboratoires pharmaceutiques affichaient, en moyenne, des bénéfices supérieurs à ceux des sociétés informatiques.

L’analyste financier souhaite savoir si l'influence de la taille des sociétés sur les bénéfices est plus marquée pour un type que pour l'autre. Cependant, avant d’étudier cette question, il doit savoir si les proportions de petites, moyennes et grandes sociétés sont les mêmes dans les deux industries.

Découvrir la relation

1. Choisissez Aide > Dossier d'échantillons de données et ouvrez le fichier Companies.jmp.

2. Si la table d’échantillons de données Companies.jmp est toujours ouverte, il est possible que des lignes soient exclues ou masquées. Pour réinitialiser l'état de ces lignes — c'est-à-dire pour les inclure et les afficher toutes — choisissez Lignes > Effacer les états de ligne.

3. Choisissez Analyse > Ajuster Y en fonction de X.

4. Sélectionnez Size Co et cliquez sur Y, Réponse.

5. Sélectionnez Type et cliquez sur X, Facteur.

6. Cliquez sur OK.

Figure 5.19 Taille des sociétés en fonction de leur type 

Company Size by Company Type

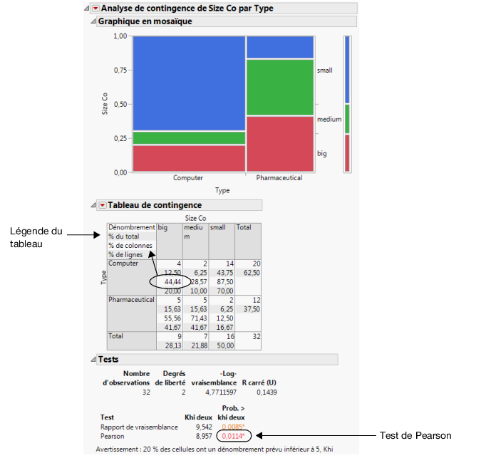
Le tableau de contingence contient des informations qui ne s'appliquent pas à cet exemple. Cliquez sur le triangle rouge Tableau de contingence et désélectionnez % du total et % de colonnes pour retirer ces informations. La Figure 5.20 affiche le tableau actualisé.

Figure 5.20 Tableau de contingence mis à jour 

Updated Contingency Table

Interpréter les résultats

Les statistiques du tableau de contingence sont représentées dans le graphique en mosaïque. Le graphique en mosaïque et le tableau de contingence comparent les pourcentages de petites, moyennes et grandes sociétés entre les deux industries. Par exemple, le graphique en mosaïque indique que l’industrie informatique compte de plus de petites sociétés que l’industrie pharmaceutique. Le tableau de contingence fournit les statistiques exactes : 70 % des sociétés informatiques sont de petite taille, contre 17 % environ pour les laboratoires pharmaceutiques.

Interpréter le test

L’analyste financier n’a examiné qu’un seul échantillon de sociétés (celles de la table de données). Il souhaite savoir si les pourcentages diffèrent au sein de la population générale des sociétés informatiques et pharmaceutiques.

Pour répondre à cette question, utilisez la p-value du test de Pearson disponible dans le rapport Tests (Figure 5.19). Puisque la p-value 0,011 est inférieure au niveau de significativité de 0,05, l’analyste financier conclut que :

Les différences dans l'échantillon de données sont statistiquement significatives.

Les pourcentages diffèrent au sein de la population générale

L’analyste financier sait désormais que les proportions des petites, moyennes et grandes sociétés sont différentes, et peut répondre à la question suivante : L'influence de la taille des sociétés sur les bénéfices est-elle plus marquée pour un type que pour l'autre ?

Vous voulez plus d'informations ? Avoir des questions? Obtenez des réponses dans la communauté d'utilisateurs JMP (community.jmp.com).