JMP 14.2オンラインマニュアル
はじめてのJMP
JMPの使用法
基本的な統計分析
グラフ機能
プロファイル機能
実験計画(DOE)
基本的な回帰モデル
予測モデルおよび発展的なモデル
多変量分析
品質と工程
信頼性/生存時間分析
消費者調査
スクリプトガイド
スクリプト構文リファレンス
JMP iPad Help (英語)
JMP Interactive HTML (英語)
機能インデックス
JMP統計機能ガイド
このバージョンのヘルプはこれ以降更新されません。最新のヘルプは
https://www.jmp.com/support/help/ja/15.2
からご覧いただけます。
基本的な統計分析
•
二変量分析
•
「二変量」プラットフォームの統計的詳細
• 直線のあてはめ
前へ
•
次へ
直線のあてはめ
[直線のあてはめ]
オプションでは、残差の平方和を最小にするような直線のパラメータ
と
が求められます。なお、
i
番目の行に対して、直線のモデルは
と表されます。
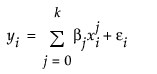
2次多項式は放物線、3次多項式は3次曲線です。次数を
k
としたとき、
i
行目のモデルは、次式で表されます。