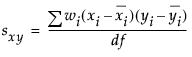
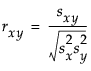
「相関」レポートに表示される相関は、Pearsonの相関係数です。Pearsonの相関係数は、"r"という記号で表されることが多いです。次式で計算されます。
この式の
は、「重み」列を指定してあるときはi番目のオブザベーションの重み、「重み」列がないときは1です。
は、「重み」列を指定してあるときはi番目のオブザベーションの重み、「重み」列がないときは1です。
は、「重み」列を指定してあるときはi番目のオブザベーションの重み、「重み」列がないときは1です。