JMP 14.2オンラインマニュアル
はじめてのJMP
JMPの使用法
基本的な統計分析
グラフ機能
プロファイル機能
実験計画(DOE)
基本的な回帰モデル
予測モデルおよび発展的なモデル
多変量分析
品質と工程
信頼性/生存時間分析
消費者調査
スクリプトガイド
スクリプト構文リファレンス
JMP iPad Help (英語)
JMP Interactive HTML (英語)
機能インデックス
JMP統計機能ガイド
このバージョンのヘルプはこれ以降更新されません。最新のヘルプは
https://www.jmp.com/support/help/ja/15.2
からご覧いただけます。
基本的な統計分析
•
一元配置分析
•
ロバスト
• ロバストなあてはめ
前へ
•
次へ
ロバストなあてはめ
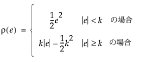
[ロバストなあてはめ]オプションで採用されている手法は、応答変数における外れ値が推定結果に与える影響が少ないものです。HuberのM推定が使用されます。HuberのM推定では、次式によって定義されているHuberの損失関数を最小にするパラメータ推定値を求めます。
この式で、
e
i
は残差を表します
Huberの損失関数は、誤差が小さい場合は2次曲線として増加し、誤差が大きい場合は線形に増加します。ロバストなあてはめの詳細については、Huber(
1973
)およびHuber and Ronchetti(
2009
)を参照してください。
第 “[ロバストなあてはめ]オプションの例”
を参照してください。