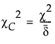
多重応答データ(複数回答データ)における[応答の等質性に対する検定]では、Rao-Scott修正が適用されます。Rao-Scott修正については、Lavassani et al.(2009)を参照してください。なお、多重応答データにおいては、[応答の等質性に対する検定]オプションは、[表の構成]タブでのみ使うことができます。
Cは、応答変数の水準数(クロス表における列数)です。

は、通常のPearsonカイ2乗検定統計量です。
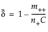
は、次式で定義される補正係数です。
は、多重応答の総度数です。
は、回答者(ケース)の総数です。