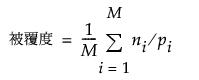
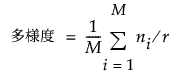
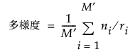
tは、計画の強度
Kは、因子の個数
rは、計画全体における実験回数
JMPの「被覆配列」プラットフォームでは、t個の因子における水準の組み合わせに関して、いくつかの特定の組を許可しないようにすることもできます。そのとき、いくつかの組み合わせにおいて、因子の水準が欠測値になることもあります。 なぜなら、特定のt個の因子に関して、制約を満たす組み合わせをまったく構成できない場合もあるからです。 制約のある被覆配列では、被覆度と多様度は、可能な組み合わせから定義されます。制約のある計画の指標を計算するために、先ほどの計算式に対して、次のような要素も考慮されます。
mは、制約を満たす因子設定の組み合わせが1つも存在しない射影の数






