このレポートには、モデル内の各パラメータの「信頼区間幅の増加率」と「推定値の相対標準誤差」が表示されます。どちらの値も、小さい方が良いです。「推定効率」アウトラインは、「Design Experiment」フォルダにある「Bounce Data.jmp」データテーブルの「推定効率」アウトラインです。
図15.22 「推定効率」アウトライン
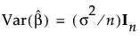
通常の最小2乗法による推定値の共分散行列は、σ2(X’X)-1です。(X’X)-1の対角要素は、パラメータ推定値の相対分散(パラメータ推定値の分散をσ2で割ったもの)です。2水準の計画で、効果をコード変換している場合(付録「列プロパティ」の「「コード変換」列プロパティ」(684ページ)を参照)、パラメータ推定値の相対分散の最小値は、どのパラメータについても1/n(nは実験回数)となります。これは、D-最適計画ですべての効果が直交している場合に対応します。
パラメータ推定値のベクトルを、
で表すとしましょう。このとき、理想的な計画(存在するとは限りません)の共分散行列は、以下のように表されます。
で表すとしましょう。このとき、理想的な計画(存在するとは限りません)の共分散行列は、以下のように表されます。i番目のパラメータ推定値の信頼区間幅の増加率は、次のように定義されます。
σ2は、誤差の分散です(通常、その値は未知です)。
は、
のi番目の対角要素、nは、実験回数です。
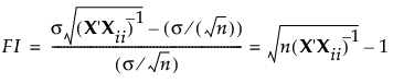
「推定値の相対標準誤差」は、誤差の標準偏差を1としたときの、パラメータ推定値の標準偏差です。この値は、誤差の標準偏差を1としたときの、パラメータ推定量のばらつき(標準誤差の大きさ)を表しています。i番目のパラメータの推定値に対し、「推定値の相対標準誤差」は次のように定義されます。
は、
のi番目の対角要素です。

は

