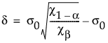
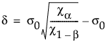
σ0は母標準偏差の仮説値(母標準偏差の帰無仮説での値)
σは母標準偏差の対立仮説での値
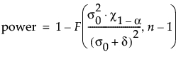
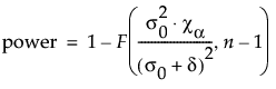
σ0は母標準偏差の仮説値(帰無仮説での値)
σは母標準偏差の対立仮説での値
検出力を求めるときにはF分布の累積分布関数が使われていますが、nを求めるときには数値的なアルゴリズムが使われています。
JMPにおける計算についての詳細は、Barker(2011, Section 2.4)を参照してください。



