JMP 14.2オンラインマニュアル
はじめてのJMP
JMPの使用法
基本的な統計分析
グラフ機能
プロファイル機能
実験計画(DOE)
基本的な回帰モデル
予測モデルおよび発展的なモデル
多変量分析
品質と工程
信頼性/生存時間分析
消費者調査
スクリプトガイド
スクリプト構文リファレンス
JMP iPad Help (英語)
JMP Interactive HTML (英語)
機能インデックス
JMP統計機能ガイド
このバージョンのヘルプはこれ以降更新されません。最新のヘルプは
https://www.jmp.com/support/help/ja/15.2
からご覧いただけます。
実験計画(DOE)
•
検出力と標本サイズ
•
[1標本割合]
• [1標本割合]の統計的詳細
前へ
•
次へ
[1標本割合]の統計的詳細
[1標本割合]の検出力計算では、2項分布に基づく正確な確率が使われます。[1標本割合]では、正確な計算によって検出力を求めています。
近似Agresti-Coull検定の正確検出力計算
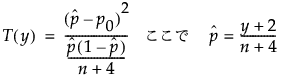
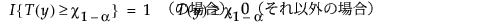
[近似Agresti-Coull検定の正確検出力計算]では、近似的な検定である調整済みWald検定に対する検出力を正確に求めます。JMPは、両側検定の検出力を次のように計算します。
この式で、
χ
1-
α
は、
Χ
1
2
分布の累積確率(1 -
α
)における分位点。
n
や
p
0
に対しては閉じた解がないため、数値的なアルゴリズムを用いて
n
や
p
0
が求められます。
調整済みWald検定については、Agresti and Coull(
1998
)を参照してください。JMPにおける計算についての詳細は、Barker(
2011
, Section 3.3)を参照してください。
正確二項検定(Clopper-Pearson検定)
正確二項検定(Clopper-Pearson検定)は、二項分布に基づく手法で算出される正確検定です。この検定では、常に、実際の有意水準が名目的な有意水準以上になります。つまり、正確二項検定の結果は、近似Agresti‐Coull検定よりも保守的になります。
正確二項検定では、二項分布の確率を直接計算します。検出力の計算では、閉じた解がないので、数値的なアルゴリズムが使われています。
正確二項検定の詳細については、Clopper and Pearson(
1934
)またはAgresti and Coull(
1998
, Section 1)を参照してください。