JMP 14.2オンラインマニュアル
はじめてのJMP
JMPの使用法
基本的な統計分析
グラフ機能
プロファイル機能
実験計画(DOE)
基本的な回帰モデル
予測モデルおよび発展的なモデル
多変量分析
品質と工程
信頼性/生存時間分析
消費者調査
スクリプトガイド
スクリプト構文リファレンス
JMP iPad Help (英語)
JMP Interactive HTML (英語)
機能インデックス
JMP統計機能ガイド
このバージョンのヘルプはこれ以降更新されません。最新のヘルプは
https://www.jmp.com/support/help/ja/15.2
からご覧いただけます。
実験計画(DOE)
•
検出力と標本サイズ
•
[2標本割合]
• [2標本割合]の統計的詳細
前へ
•
次へ
[2標本割合]の統計的詳細
2標本割合の計算では、1標本割合の場合と同様に正確な方法が使われています。両側検定における帰無仮説と対立仮説は以下のとおりです。
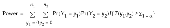
このような両側検定に対して、検出力は次のように計算されます。
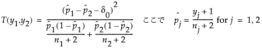
ここで、調整済みWald検定の検定統計量は次のように定義されます。
および
そして
χ
1-a
は、
χ
2
分布の累積確率(1 -
α
)における分位点です。
n
i
または
δ
0
に対して、閉じた解がないため、数値的なアルゴリズムを用いて
n
i
および
δ
0
が求められます。
調整済みWald検定については、Agresti and Coull(
1998
)を参照してください。JMPにおける計算についての詳細は、Barker(
2011
, Section 3.3)を参照してください。