JMP 14.2オンラインマニュアル
はじめてのJMP
JMPの使用法
基本的な統計分析
グラフ機能
プロファイル機能
実験計画(DOE)
基本的な回帰モデル
予測モデルおよび発展的なモデル
多変量分析
品質と工程
信頼性/生存時間分析
消費者調査
スクリプトガイド
スクリプト構文リファレンス
JMP iPad Help (英語)
JMP Interactive HTML (英語)
機能インデックス
JMP統計機能ガイド
このバージョンのヘルプはこれ以降更新されません。最新のヘルプは
https://www.jmp.com/support/help/ja/15.2
からご覧いただけます。
実験計画(DOE)
•
検出力と標本サイズ
•
[ユニットあたり度数]
• [ユニットあたり度数]の統計的詳細
前へ
•
次へ
[ユニットあたり度数]の統計的詳細
[ユニットあたり度数]の計算では、Poisson分布を正規近似して求めています。検定の仮説は、次のとおりです。
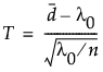
正規近似においては、次のような検定統計量を使用します。
ここで、
n
は標本サイズ、
d̄
は標本における1ユニットあたりの不適合数の平均です。検定統計量
T
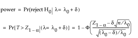
は、ほぼ正規分布に従うと仮定されます。検出力は、対立仮説の下での
T
の分布に基づいて計算されます。
ここで、
Φ
()は標準正規分布の累積分布関数、
Z
1-
p
は、標準正規分布累積確率(1 -
p
)における分位点です。
帰無仮説を棄却するための希望の検出力を1 -
β
とすると、標本サイズは次のように求められます。
δ
には閉じた解がないため、検出力と
ν
が与えられたときの
d
を求めるときには数値的なアルゴリズムが使われています。
JMPにおける計算についての詳細は、Barker(
2011
, Section 2.5)を参照してください。