JMP 14.2オンラインマニュアル
はじめてのJMP
JMPの使用法
基本的な統計分析
グラフ機能
プロファイル機能
実験計画(DOE)
基本的な回帰モデル
予測モデルおよび発展的なモデル
多変量分析
品質と工程
信頼性/生存時間分析
消費者調査
スクリプトガイド
スクリプト構文リファレンス
JMP iPad Help (英語)
JMP Interactive HTML (英語)
機能インデックス
JMP統計機能ガイド
このバージョンのヘルプはこれ以降更新されません。最新のヘルプは
https://www.jmp.com/support/help/ja/15.2
からご覧いただけます。
実験計画(DOE)
•
検出力と標本サイズ
•
[シグマクオリティの水準]
• [シグマクオリティの水準]の統計的詳細
前へ
•
次へ
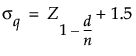
[シグマクオリティの水準]の統計的詳細
[シグマクオリティの水準]は、機会数を
ν
、不適合数を
d
としたときのシグマクオリティの水準
sq
の定義に基づいて計算されます。
この定義から、
d
と
n
を次のように求めることができます。
ここで、
Φ
()は標準正規分布に従う累積分布関数、
Z
1
-d/n
は、標準正規分布の(1 -
d
/
n
)番目の分位点です。