ここで、μは、以下を使って求められます。
標本サイズと試験期間を計算するために、時間tにおける生存確率に対する仮説検定を用います。
この仮説を、有意水準αで検定します。そこで、次の等式を満たすような試験を求めることになります。
この検定は、n個の独立したユニットで構成され、故障数は(n, p)の二項分布に従います。ここで、pは、ユニットが時間tに達する前に故障する確率です。このような式から、αは、tとnの関数として表現できます。
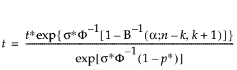
二項分布およびベータ分布の属性により、以下を使ってtを求めることができます。
nについては、Brentの方法を使って次式の根を求めます。
Φ()は、仮定された故障時間分布の累積分布関数です。
JMPにおける計算についての詳細は、Barker(2011, Section 5)を参照してください。







