|
•
|
|
•
|
|
•
|
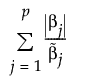
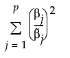
λは調整パラメータ
|
|
•
|
|
•
|
Nは標本サイズ
|
|
•
|
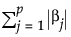
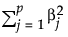
pは変数の個数
|
ヒント: 説明変数が1つしかない弾性ネットモデルで、αとλを変化させたときの縮小効果を示す2つのサンプルスクリプトがあります。[ヘルプ]>[サンプルデータ]を選択し、[サンプルスクリプトディレクトリを開く]をクリックして、[demoElasticNetAlphaLambda.jsl]または[demoElasticNetAlphaLambda2.jsl]を選択してください。それぞれのスクリプトの先頭に、使用法と表示される内容説明が(英語で)記載されています。
推定法の統計的詳細
リッジ回帰
、
は
Dantzig選択器
は
Lasso回帰
、
は
弾性ネット
は
は
適応型手法
は、最尤推定値が存在する場合は最尤推定値です。応答変数の確率分布として正規分布を指定したときで、最尤推定値が存在しない場合には、
には一般化逆行列を使って求めた最小2乗推定解が使われます。応答変数の確率分布として正規分布以外のものを指定したときで、最尤推定値が存在しない場合には、
にはリッジ回帰の解が使われます。
係数が決定されます。
は、最尤推定値が存在する場合は最尤推定値です。応答変数の確率分布として正規分布を指定したときで、最尤推定値が存在しない場合には、
には一般化逆行列を使って求めた最小2乗推定解が使われます。応答変数の確率分布として正規分布以外のものを指定したときで、最尤推定値が存在しない場合には、
にはリッジ回帰の解が使われます。