JMP 14.2オンラインマニュアル
はじめてのJMP
JMPの使用法
基本的な統計分析
グラフ機能
プロファイル機能
実験計画(DOE)
基本的な回帰モデル
予測モデルおよび発展的なモデル
多変量分析
品質と工程
信頼性/生存時間分析
消費者調査
スクリプトガイド
スクリプト構文リファレンス
JMP iPad Help (英語)
JMP Interactive HTML (英語)
機能インデックス
JMP統計機能ガイド
このバージョンのヘルプはこれ以降更新されません。最新のヘルプは
https://www.jmp.com/support/help/ja/15.2
からご覧いただけます。
基本的な回帰モデル
•
一般化回帰モデル
•
一般化回帰手法の統計的詳細
• 分布の統計的詳細
前へ
•
次へ
分布の統計的詳細
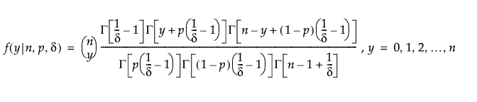
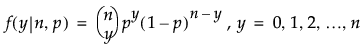
「一般化回帰」手法で使われる分布の密度関数(確率関数)・期待値・分散を、以下に示します。なお、「一般化回帰」手法の離散分布では、同じ確率関数を使って、整数以外のデータ値も処理します(以下の計算式では、離散分布は整数値のみをとるように説明しています)。
連続変数の分布
正規分布
Cauchy分布
指数分布
ガンマ分布
Weibull分布
対数正規分布
ベータ分布
離散分布
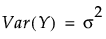
二項分布
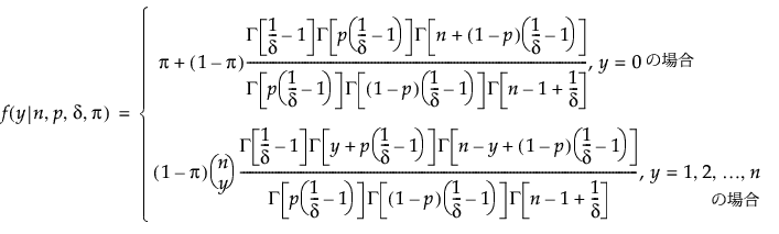
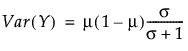
ベータ二項分布
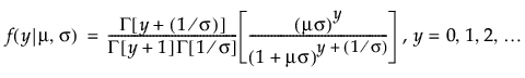
Poisson分布
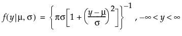
負の二項分布
ゼロ強調分布
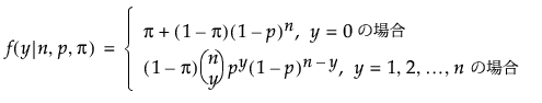
ゼロ強調 二項分布
ゼロ強調 ベータ二項分布
ゼロ強調 Poisson分布
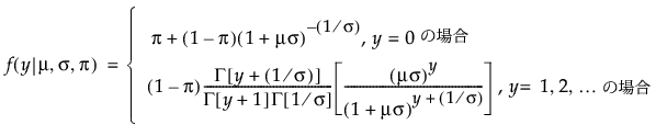
ゼロ強調 負の二項分布
ゼロ強調 ガンマ分布