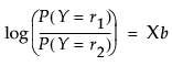
ロジスティック回帰では、名義尺度の応答変数Yが、説明変数Xの線形モデルにあてはめられます。より厳密に言えば、応答変数の各水準が生じる確率が、ロジスティック関数を使ってモデル化されます。応答変数が2水準のときのロジスティックモデルは、次のように表されます。
これらのモデルは、最尤法をよって推定されます。最尤法では、応答のデータ値が生じる確率を最大にするモデルパラメータβjを求めます。この推定方法は、負の対数尤度((-1)*対数尤度)を最小化するのと等価です。
この式で、
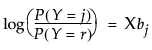
この式で、
の場合、モデルは次の式で表される
個の線形モデルパラメータで定義されます。
