また、
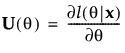
は、行列Uの転置を表します。
は、行列Uの転置を表します。
を、反復計算が終了したときの
の値とします。
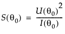
で評価される相対的な勾配が、スコア検定の検定統計量となります。p値は、自由度kのカイ2乗分布に基づいて計算されます。このp値によって、「最尤推定値は、
と等しい」という帰無仮説が検定されます。なお、kは、「変量効果の共分散パラメータ推定値」レポートにリストされている、制約されていないパラメータの個数です。
収束スコア検定
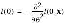
スコア検定

に対するスコア検定の検定統計量は次のとおりです。
に対するスコア検定の検定統計量は次のとおりです。


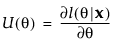
相対的な勾配
に基づいています。ここで、
は対数尤度関数の勾配、
はヘッセ行列です。