メモ: モデル項の間に一次従属性がある場合でも、「パラメータ推定値」レポートでは、推定値がなるべく計算され、検定されます。ただし、一次従属性がある項は、推定値を一意的に決められないので、「バイアスあり」または「ゼロに固定」と表示されます。詳細は、第 “一次従属性がある場合”を参照してください。
パラメータ推定値に対応するモデル項。「モデルのあてはめ」起動ウィンドウで[切片なし]オプションを選択した場合を除いて、最初の項は常に切片です。連続尺度の変数は、データテーブルの列名で表されます。連続尺度の列で高次の効果に使われているものは中心化される場合があります。名義尺度や順序尺度の効果では、列名のあとに、括弧で囲んだ水準値が表示されます。名義尺度および順序尺度の項のコード変換については、第 “名義尺度効果のコード変換”および付録「統計的詳細」の「因子(説明変数)の取り扱い方」(484ページ)を参照してください。
各項のパラメータ推定値。これらは、モデル係数の推定値です。モデル項間に一次従属性がある場合、それらの項には「バイアスあり」または「ゼロに固定」と表示されます。第 “一次従属性がある場合”を参照してください。
t値
各パラメータの真の値は0かどうかという帰無仮説を検定します。t値は、「推定値」をその「標準誤差」で割ったものです。モデルに関するいくつかの仮定が満たされ、帰無仮説が成り立つときは、このt値はStudentのt分布に従います。
標準β
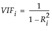
この式において、Ri 2はxiを応答変数とし、その他の変数を説明変数として回帰分析したときの決定係数(R2乗)です。この列は、レポートを右クリックし、[列]>[VIF]を選択した場合のみ表示されます。

