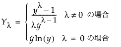
べき乗変換は変数変換の1つとしてよく使われていますが、 Box and Cox(1964)によって、より一般的なべき乗変換が提案されました。Box and Cox(1964)によって提案された変換では、変換式がパラメータλ、によって連続的に変化し、また、変換後の誤差平方和(残差平方和)を単純に比較できるようになっています。Box-Coxのべき乗変換は、次のとおりです。
[Box‐Cox Y変換]オプションは、λ = –2 ~ 2 の間で、0.2刻みで変換してモデルをあてはめます。そして、λの適切な値を決めるために、これらの変換ごとに誤差平方和が計算されます。上式で変換された応答の誤差平方和は、応答を変換した後で、誤差が平均0で分散σ2の互いに独立な正規分布に従うという仮定のもとで計算された対数尤度の相対的な大きさと一対一対応になっています。つまり、上式の変換での誤差平方和を最小にするλは、 変換後の尤度を最大化します。 SSEが最小となっている点とその前後の点で2次補間することにより、尤度を最大化するλを求めています。
「Box-Cox変換」レポートには、λの値に対してSSE(誤差平方和)がプロットされたグラフが表示されます。グラフの赤い横軸は、λの対する片側95%信頼区間を表します。この信頼区間は、Box and Cox(1964, p. 216)で定義された信頼区間に基づいています。この信頼区間は次の不等式で定義されます。
‐2 ~ 2 のλの値について0.2刻みでパラメータ推定値と誤差平方和を計算し、新しいデータテーブルに保存します。
|
1.
|
[ヘルプ]>[サンプルデータライブラリ]を選択し、「Reactor.jmp」を開きます。
|
|
2.
|
[分析]>[モデルのあてはめ]を選択します。
|
|
3.
|
「Y」を選択し、[Y]をクリックします。
|
|
4.
|
「次数」ボックスに「2」が入力されていることを確認します。
|
|
5.
|
|
6.
|
[実行]をクリックします。
|
図3.54 Box-Cox Y変換
|
7.
|
(オプション)グラフで描かれている誤差平方和の値を確認するには、[推定値のテーブル]を選択します。
|

は幾何平均です。