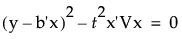
Fiellerの定理(Fieller, 1954)が、逆推定の信頼限界の計算に使われています。以下で説明する方法によって、応答変数と他の説明変数の値が与えられているときの、ある説明変数の値とその信頼限界が推定されます。
|
•
|
|
•
|
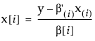
xを分析対象である説明変数の値とし、i番目の値を推定の対象とします。
|
|
•
|
yを応答値とします。
|
|
•
|
|
•
|
|
•
|
|
•
|
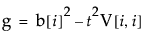
メモ: 「二変量の関係」のロジスティックプラットフォームと「モデルのあてはめ」の[名義ロジスティック]手法では、逆推定の信頼区間を計算する際にt値が使用されます。一方、「モデルのあてはめ」の[一般化線形モデル]手法とSAS/STATのPROC PROBITではz値が使用されるため、結果が異なります。







、ここで
または
のいずれか