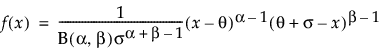
ベータ分布のxにおける密度を戻す。密度関数は、次のように表記できます。
(オプション)尺度パラメータσ。正の値。デフォルト値は1。
(オプション)尺度パラメータσ。正の値。デフォルト値は1。
指定されたパラメータをもつベータ分布の累積確率pに対する分位点を戻す。 分位点は、閉じた解析的な解としては求めることができません。
下側累積確率。pは0~1の間でなければならない。
(オプション)尺度パラメータσ。正の値。デフォルト値は1。
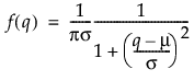
Cauchy分布のqにおける密度を戻す。密度関数は、次のように表記できます。
(オプション)位置パラメータμ。デフォルト値は0。
(オプション)尺度パラメータσ。正の値。デフォルト値は1。
Cauchy分布に従う累積確率変数がq以下になる確率を戻す。累積分布関数は、次のように表記できます。
(オプション)位置パラメータμ。デフォルト値は0。
(オプション)尺度パラメータσ。正の値。デフォルト値は1。
下側累積確率。pは0~1の間でなければならない。
(オプション)位置パラメータμ。デフォルト値は0。
(オプション)尺度パラメータσ。正の値。デフォルト値は1。
カイ2乗分布のqにおける密度を戻す。
自由度 n 。正の値。
(オプション)非心度パラメータλ。負でない値。デフォルト値は0。
自由度 n 。正の値。
(オプション)非心度パラメータλ。負でない値。デフォルト値は0。
prob = ChiSquare Distribution(x, df, nc)
自由度n。正の値。
下側累積確率。probは0~1の間でなければならない。
下側累積確率。pは0~1の間でなければならない。
自由度n。正の値。
(オプション)非心度パラメータλ。負でない値。デフォルト値は0。
Dunnettの多重比較検定のp値を戻す。
p値を示す数値
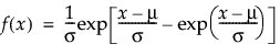
指数分布のxにおける密度を戻す。密度関数は、次のように表記できます。
密度を計算する分位点。xは0以上でなければなりません。
(オプション)尺度パラメータθ。正の値。デフォルト値は1。
指数分布に従う確率変数がx以下になる確率を戻す。累積分布関数は、次のように表記できます。
累積確率を計算する分位点。xは0以上でなければなりません。
(オプション)尺度パラメータθ。正の値。デフォルト値は1。
下側累積確率。pは0~1の間でなければならない。
(オプション)尺度パラメータθ。正の値。デフォルト値は1。
prob = F Distribution(x, dfn, dfd, nc)
Fréchet分布のxにおける密度を戻す。密度関数は、次のように表記できます。
密度を計算する数値。xは正の値でなければなりません。
位置パラメータμ。
尺度パラメータσ。正の値。
Fréchet分布のxにおける累積確率を戻す。累積分布関数は、次のように表記できます。
累積確率を計算する値。xは正の値でなければなりません。
位置パラメータμ。
尺度パラメータσ。正の値。
下側累積確率。pは0~1の間でなければならない。
位置パラメータμ。
尺度パラメータσ。正の値。
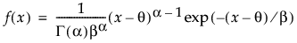
ガンマ分布のxにおける密度を戻す。密度関数は、次のように表記できます。
(オプション)形状パラメータα。正の値。デフォルト値は1。
(オプション)尺度パラメータβ。正の値。デフォルト値は1。
計算できる範囲がはるかに大きいことを除けば、Log(1 - Gamma Distribution(x, alpha))と同じ。
計算できる範囲がはるかに大きいことを除けば、Log(GammaDensity(x, alpha))と同じ。
計算できる範囲がはるかに大きいことを除けば、Log(Gamma Distribution(x, alpha))と同じ。
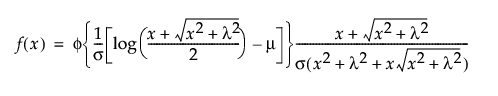
拡張一般化ガンマ分布のxにおける密度を戻す。密度関数は、次のように表記できます。
は標準化した対数ガンマ分布の確率密度関数で、κ > 0は形状パラメータです。
密度を計算する数値。xは正の値でなければなりません。
位置パラメータμ。
尺度パラメータσ。正の値。
は標準化した対数ガンマ分布の累積分布関数で、κ > 0は形状パラメータです。
累積確率を計算する数値。xは正の値でなければなりません。
位置パラメータμ。
尺度パラメータσ。正の値。
下側累積確率。pは0~1の間でなければならない。
位置パラメータμ。
尺度パラメータσ。正の値。
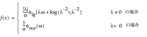
一般化対数分布のxにおける密度を戻す。密度は、次のように表記できます。
位置パラメータμ。
尺度パラメータσ。正の値。
形状パラメータλ。正の値。
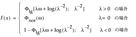
一般化対数分布の累積分布関数。一般化対数分布に従う確率変数がx以下になる確率を戻す。
一般化対数分布の下側累積確率がpとなる分位点を戻す。
Johnson Sb分布のqにおける密度を戻す。密度関数は、次のように表記できます。
形状パラメータγ。任意の値。
形状パラメータδ。正の値。
位置パラメータθ。任意の値。
尺度パラメータσ。正の値。
Johnson Sb分布のqにおける累積確率を戻す。密度関数は、次のように表記できます。
形状パラメータγ。任意の値。
形状パラメータδ。正の値。
位置パラメータθ。任意の値。
尺度パラメータσ。正の値。
分布の下側累積確率がpとなる分位点を戻す。
下側累積確率。pは0~1の間でなければなりません。
Johnson Sl分布のxにおける密度を戻す。密度関数は、次のように表記できます。
形状パラメータγ。任意の値。
形状パラメータδ。正の値。
位置パラメータθ。任意の値。
Johnson Sl分布のqにおける累積確率を戻す。
分布が正の方向に歪むか、負の方向に歪むかを定義するパラメータ。Sigmaは、+1(正の方向)または-1(負の方向)のどちらかをとります。
Johnson Sl分布の下側確率がpとなる分位点を戻す。
下側累積確率。pは0~1の間でなければなりません。
分布が正の方向に歪むか、負の方向に歪むかを定義するパラメータ。Sigmaは、+1(正の方向)または-1(負の方向)のどちらかをとります。
Johnson Su分布のxにおける密度を戻す。密度関数は、次のように表記できます。
形状パラメータγ。任意の値。
形状パラメータδ。正の値。
位置パラメータθ。任意の値。
尺度パラメータσ。正の値。
Johnson Su分布のqにおける累積確率を戻す。累積確率は、次のように表記できます。
形状パラメータγ。任意の値。
形状パラメータδ。正の値。
位置パラメータθ。任意の値。
尺度パラメータσ。正の値。
分布の下側累積確率がpとなる分位点を戻す。
下側累積確率。pは0~1の間でなければなりません。
位置パラメータμ。
尺度パラメータσ。正の値。
位置パラメータμ。
尺度パラメータσ。正の値。
下側累積確率。pは0~1の間でなければなりません。
位置パラメータμ。
尺度パラメータσ。正の値。
は対数ガンマ分布の確率密度関数で、κ > 0は形状パラメータです。
位置パラメータμ。
尺度パラメータσ。正の値。
は対数ガンマ分布の累積分布関数で、κ > 0は形状パラメータです。
位置パラメータμ。
尺度パラメータσ。正の値。
位置パラメータμ。
尺度パラメータσ。正の値。
位置パラメータμ。
尺度パラメータσ。正の値。
下側累積確率。pは0~1の間でなければなりません。
位置パラメータμ。
尺度パラメータσ。正の値。
位置パラメータμ。
尺度パラメータσ。正の値。
位置パラメータμ。
尺度パラメータσ。正の値。
下側累積確率。pは0~1の間でなければなりません。
位置パラメータμ。
尺度パラメータσ。正の値。
密度を計算する数値。xは0以上でなければなりません。
位置パラメータμ。
尺度パラメータσ。正の値。
密度を計算する数値。xは0以上でなければなりません。
位置パラメータμ。
尺度パラメータσ。正の値。
2変量正規分布に従う確率変数(X, Y)が(x, y)以下になる確率を計算する。ここで、Xの周辺分布は平均mu1、標準偏差s1、Yの周辺分布は平均mu2、標準偏差s2の正規分布に従っているとします。また、2変量の相関関数はrとします。mu1、s1、mu2、s2が指定されていない場合、mu1=0、s1=1、mu2=0、s2=1の標準正規分布が使われます。
(オプション)位置パラメータμ。デフォルト値は0。
(オプション)尺度パラメータσ。正の値。デフォルト値は1。
(オプション)位置パラメータμ。デフォルト値は0。
(オプション)尺度パラメータσ。正の値。デフォルト値は1。
正規分布の分位点xでの上側累積確率の対数を戻す。
正規分布の分位点xでの累積分布関数の値の対数を戻す。
正規混合分布の密度関数。グループ平均mean、グループ標準偏差stdev、グループ確率probabilityのqにおける密度を戻す。mean、stdev、およびprobabilityはすべて同じサイズのベクトルです。
正規混合分布の確率関数。グループ平均mean、グループ標準偏差stdev、グループ確率probabilityの正規混合分布に従う確率変数がqよりも小さい確率を戻す。mean、stdev、およびprobabilityはすべて同じサイズのベクトルです。
位置パラメータμ。
尺度パラメータσ。正の値。
位置パラメータμ。
尺度パラメータσ。正の値。
下側累積確率。pは0~1の間でなければなりません。
位置パラメータμ。
尺度パラメータσ。正の値。
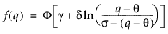
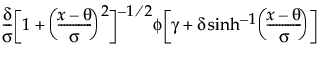
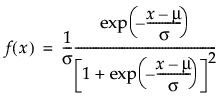
SHASH分布のqにおける密度を戻す。
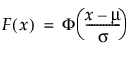
SHASH分布のxにおける下側累積確率を戻す。
SHASH分布の累積確率がpとなる分位点を戻す。
t分布の分位点xでの上側累積確率の対数を戻す。
t分布の分位点xでの密度関数の値の対数を戻す。
t分布の分位点xでの累積分布関数の値の対数を戻す。
prob=T Distribution (x, df, nc)
TukeyのHSD多重比較検定のp値を戻す。
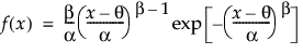
Weibull分布のxにおける密度を戻す。密度関数は、次のように表記できます。
密度を計算する数値。閾値(threshold)より大きくなければなりません。
形状パラメータβ。正の値。
(オプション)尺度パラメータα。正の値。デフォルト値は1。
(オプション)閾値パラメータθ。デフォルト値は0。
Weibull分布のxにおける累積確率を戻す。累積確率は、次のように表記できます。
密度を計算する数値。閾値(threshold)より大きくなければなりません。
形状パラメータβ。正の値。
(オプション)尺度パラメータα。正の値。デフォルト値は1。
(オプション)閾値パラメータθ。デフォルト値は0。
指定されたパラメータをもつWeibull分布の累積確率がpとなる分位点を戻す。分位点関数は、次のように計算されます。
下側累積確率。pは0~1の間でなければなりません。
形状パラメータβ。正の値。
(オプション)尺度パラメータα。正の値。デフォルト値は1。
(オプション)閾値パラメータθ。デフォルト値は0。

はベータ関数です。
。デフォルト値は0。
。デフォルト値は0。
。デフォルト値は0。









。デフォルト値は0。




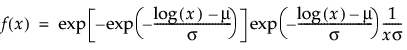
は標準正規分布の確率密度関数です。
は標準正規分布の確率密度関数です。
は標準正規分布の累積分布関数です。
は標準正規分布の確率密度関数です。
は標準正規分布の確率密度関数です。
は標準正規分布の累積分布関数です。













は標準正規分布の確率密度関数です。
は標準正規分布の累積分布関数です。

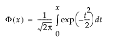
は標準正規分布の累積分布関数で、次のように定義されます。





