温度nを、Arrheniusモデルにおける説明変数の値に変換する。
Arrenhius関数の逆関数。値nを摂氏の温度に変換する。
ガンマ関数(LGamma)の対数の導関数。
nにおけるディガンマ関数の値。
eをa乗する。
ea
e()^a
Exp(x)-1を戻す。xが非常に小さい場合に、より正確な計算結果を戻します。
1からnまでの全整数を掛ける。
戻り値にnumberで指定した乗数を掛け合わせる。
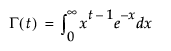
xに対するガンマ関数の値を戻す。
Gamma(t, limit)はGamma(t)と積分される式は同じですが、積分の範囲における上限を無限ではなくlimitとします。
tの対数ガンマ関数(ガンマ関数の自然対数)を戻す。
nの自然対数(底eの対数)を戻す。
LnZ()は、数値微分を伴う分析で内部的に使用されます。Ln(n)関数を代わりに使用することを推奨します。
nの自然対数(底eの対数)を戻す。オプションの第2引数を追加すると、別の底を指定できます。たとえば、Log(n,3)は、3を底とするnの対数です。Logの引数は、任意の数式をとることができます。式Log(e())は1、Log(32,2)は5です。
nの常用対数(底は10)を戻す。
xがきわめて小さいときに精度がより高くなることを除けば、Log(1 + x)と同じ。
log(p/(1-p))を戻す。
この関数は、一度にn個のうちからk個を選択する場合の組み合わせの数(「nCk」)を戻す。この組み合わせの数は、
のように階乗を使った式で計算することができます。たとえば、NChooseK(5,2)は10になります。
のように階乗を使った式で計算することができます。たとえば、NChooseK(5,2)は10になります。aをb乗する。
aをb回掛け合わせた積
x1*x2*(x1-x2)の結果を戻す。3次の配合モデルの表記に対応しています。
nの平方根を戻す。
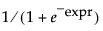
関数1/ [1 + exp(expr)]を効率よく計算する。
Squash(-expr)または
と同じ。
と同じ。nにおけるトリガンマ関数の値を戻す。トリガンマ関数はディガンマ関数の導関数です。

