JMP 14.2オンラインマニュアル
はじめてのJMP
JMPの使用法
基本的な統計分析
グラフ機能
プロファイル機能
実験計画(DOE)
基本的な回帰モデル
予測モデルおよび発展的なモデル
多変量分析
品質と工程
信頼性/生存時間分析
消費者調査
スクリプトガイド
スクリプト構文リファレンス
JMP iPad Help (英語)
JMP Interactive HTML (英語)
機能インデックス
JMP統計機能ガイド
このバージョンのヘルプはこれ以降更新されません。最新のヘルプは
https://www.jmp.com/support/help/ja/15.2
からご覧いただけます。
多変量分析
•
階層型クラスター分析
•
「階層型クラスター分析」プラットフォームの統計的詳細
• 各手法における距離の計算式
前へ
•
次へ
各手法における距離の計算式
ここでは、「階層型クラスター分析」プラットフォームで使用される距離を説明します。どの距離を分析に使用するかは、起動ウィンドウで選択できます。それぞれの距離の特徴については、
第 “距離の計算方法”
も参照してください。
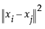
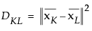
計算式では、次のような記号を使います。小文字はオブザベーション(データ行)に関連するもの、大文字はクラスターに関連するものです。
n
はオブザベーションの数です
v
: 変数の数
x
i
:
i
番目のオブザベーション
C
K
:
K
番目のクラスター。{1, 2, ...,
n
} の部分集合を含む。
N
K
:
C
K
に含まれるオブザベーションの数
x̄
: 標本平均ベクトル
x̄
K
: クラスター
C
K
の平均ベクトル
:
x
の要素の2乗和の平方根(ベクトル
x
のユークリッド距離)
d
(
x
i
,
x
j
):
群平均法
群平均法の距離(の2乗)は、次の式で計算されます。
重心法
重心法の距離(の2乗)は、次の式で計算されます。
Ward法
Ward法の距離(の2乗)は、次の式で計算されます。
最短距離法
最短距離法の距離(の2乗)は、次の式で計算されます。
最長距離法
最長距離法の距離(の2乗)は、次の式で計算されます。